![]() |
(楼主)温故知新
2023-07-03 09:44:25 |
石家庄


沧州















唐山
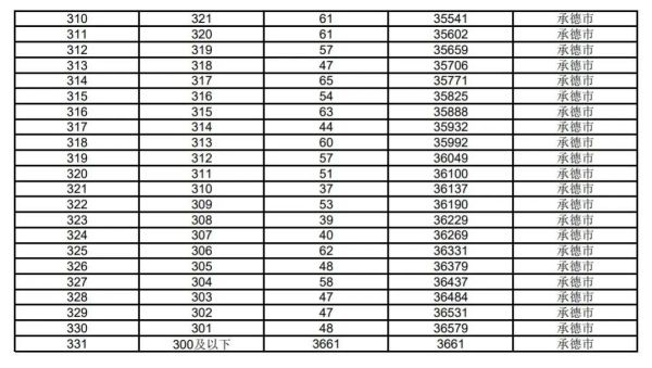
承德






衡水
保定















来源:河北日报